Номер 3 - ГДЗ Алгебра 8 класс. Мерзляк, Полонский. Учебник. Страница 153

Вернуться к содержанию учебника

Задание №4 "Проверь себя". Страница 153

615 1 2 3 4 5 6

Вопрос

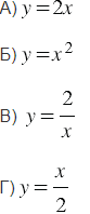
Графиком какой из функций является парабола?

Подсказка

Вспомните функцию и ее график.

Ответ

Ответ: Б.


Пояснения:

Графиком функции является фигура, которую называют параболой.

615 1 2 3 4 5 6


Вернуться к содержанию учебника