Номер 806 - ГДЗ Алгебра 8 класс. Мерзляк, Полонский. Учебник. Страница 200

Вернуться к содержанию учебника

Упражнения §24. Страница 200

803 804 805 806 807 808 809

Вопрос

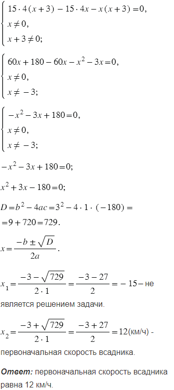
Из села Вишнёвое в село Яблоневое, расстояние между которыми равно 15 км, всадник проскакал с некоторой скоростью. Возвращался он со скоростью на 3 км/ч большей и потратил на обратный путь на 15 мин меньше, чем на путь из Вишнёвого в Яблоневое. Найдите первоначальную скоростью всадника.

Подсказка

Ответ


Вернуться к содержанию учебника