Задание 2.561 - ГДЗ Математика 6 класс. Виленкин, Жохов. Учебник часть 1. Страница 113

Старая и новая редакции

Вернуться к содержанию учебника

2.558 2.559 2.560 2.561 2.562 2.563 2.564

Вопрос

№2.561 учебника 2021-2022 (стр. 113):

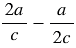
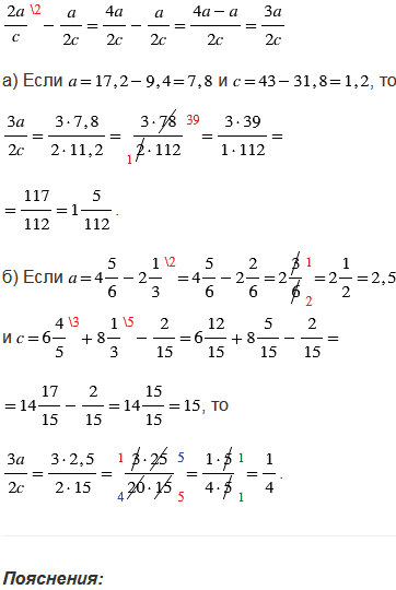
Вычислите значение выражения , если:

Подсказка

№2.561 учебника 2021-2022 (стр. 113):

Вспомните:

  1. Числовые и буквенные выражения.
  2. Что называют дробным выражением.
  3. Сложение и вычитание дробей с разными знаменателями.
  4. Приведение дробей к общему знаменателю.
  5. Сложение и вычитание дробей с одинаковыми знаменателями.
  6. Основное свойство дроби (сокращение добей).
  7. Десятичная запись дробных чисел.
  8. Смешанные числа, действия с ними.
  9. Вычитание десятичных дробей.
  10. Неправильные дроби.
  11. Деление с остатком.

Ответ

№2.561 учебника 2021-2022 (стр. 113):


Вернуться к содержанию учебника