Вернуться к содержанию учебника
№2.564 учебника 2021-2022 (стр. 113):
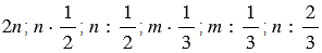
На координатном луче отмечены числа
и
(рис. 52). Можно ли указать на луче точку с координатой
?

№2.564 учебника 2021-2022 (стр. 113):
Вспомните:
Вернуться к содержанию учебника