Задание 2.568 - ГДЗ Математика 6 класс. Виленкин, Жохов. Учебник часть 1. Страница 113

Старая и новая редакции

Вернуться к содержанию учебника

2.565 2.566 2.567 2.568 2.569 2.570 2.571

Вопрос

№2.568 учебника 2021-2022 (стр. 113):

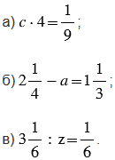
Составьте задачу, которая решается с помощью уравнения:

Подсказка

№2.568 учебника 2021-2022 (стр. 113):

Вспомните:

  1. Что называют уравнением.
  2. Деление обыкновенных дробей.
  3. Умножение обыкновенных дробей, взаимно обратные числа.
  4. Основное свойство дроби (сокращение дробей)
  5. Смешанные числа, действия с ними.
  6. Вычитание дробей с разными знаменателями.
  7. Приведение дробей к общему знаменателю.
  8. Вычитание дробей с одинаковыми знаменателями.
  9. Неправильные дроби.
  10. Деление и дроби.

Ответ

№2.568 учебника 2021-2022 (стр. 113):


Пояснения:

Равенство, содержащее неизвестное число, обозначенное буквой называют уравнением.

Корнем уравнения называют значение буквы, при котором уравнение становится верным числовым равенством.

Решить уравнение - значит найти все его корни (или убедиться, что это уравнение не имеет корня).

Чтобы найти неизвестный множитель, нужно произведение разделить на известный множитель.

Чтобы найти неизвестное вычитаемое, нужно из уменьшаемого вычесть разность.

Чтобы найти неизвестный делитель, нужно делимое разделить на частное.

Правила, по которым выполнены вычисления:

1) чтобы найти частное двух дробей, надо делимое умножить на число, обратное делителю. При этом помним, обратным числу является число , обратным натуральному числу является число ;

2) чтобы выполнить деление смешанных чисел, нужно записать эти числа в виде неправильных дробей, а затем воспользоваться правилом деления дробей;

3) произведением двух дробей является дробь, числитель которой равен произведению числителей, а знаменатель - произведению знаменателей;

4) чтобы найти разность смешанных чисел, надо: дробные части этих чисел привести к наименьшему общему знаменателю; если дробная часть уменьшаемого больше дробной части вычитаемого, то надо отдельно вычесть целые и отдельно дробные части и результаты сложить; если дробная часть уменьшаемого меньше дробной части вычитаемого, то надо превратить ее в неправильную дробь, уменьшив на единицу целую часть, и отдельно вычесть целые и отдельно дробные части и результаты сложить; при необходимости сократить дробь (разделить числитель и знаменатель дроби на их наибольший общий делитель);

5) чтобы найти разность двух дробей с одинаковыми знаменателями, нужно вычесть их числители, а знаменатель оставить прежним.

Дробь, у которой в знаменателе стоит единица, равна своему числителю.

Чтобы преобразовать смешанное число в неправильную дробь, надо целую часть числа умножить на знаменатель дробной части и к полученному произведению прибавить числитель дробной части; эту сумму записать как числитель неправильной дроби, а в ее знаменатель записать знаменатель дробной части смешанного числа.

При выполнении умножения дробей, чтобы вычисления были проще, не надо перемножать сразу, лучше сделать это после сокращения. Сократить дробь - значит, разделить ее числитель и знаменатель на одно и то же число (наибольший общий делитель).


Вернуться к содержанию учебника