Номер 9. Задание "Проверь себя" №7 - ГДЗ Алгебра 7 класс. Мерзляк, Полонский. Учебник. Страница 223

Вернуться к содержанию учебника

Задание "Проверь себя" №7. Страница 223

6 7 8 9 10 11 12

Вопрос

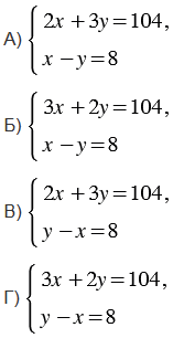
Мать и дочь слепили вместе 104 вареника, причем дочь работала 2 ч, а мать - 3 ч. За 1 ч мать делает на 8 вареников больше, чем дочь.

Пусть дочь за 1 ч делает вареников, а мать - вареников. Какая из следующих систем уравнений является математической моделью ситуации, описанной в условии?

Подсказка

Вспомните:

  1. Решение задач с помощью систем линейных уравнений.
  2. Системы линейных уравнений с двумя переменными.
  3. Линейные уравнения с двумя переменными.

Ответ

6 7 8 9 10 11 12


Вернуться к содержанию учебника