Номер 6. Задание "Проверь себя" №7 - ГДЗ Алгебра 7 класс. Мерзляк, Полонский. Учебник. Страница 223

Вернуться к содержанию учебника

Задание "Проверь себя" №7. Страница 223

3 4 5 6 7 8 9

Вопрос

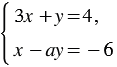
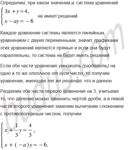
При каком значении система уравнений не имеет решений?

А) 3       Б) 3       В)         Г)

Подсказка

Вспомните:

  1. В каком случае система линейных уравнений с двумя переменными не имеет решений.
  2. Уравнения с двумя переменными, их свойства.
  3. Какие прямые называются параллельными.
  4. Сложение и вычитание рациональных чисел.
  5. Деление и дроби.
  6. Противоположные числа.

Ответ

3 4 5 6 7 8 9


Вернуться к содержанию учебника